GMZ系(xi)列.耐磨(mó)煙氣脫(tuo)硫泵是(shì)單級單(dan)吸、軸向(xiàng)吸入懸(xuán)臂卧式(shì)離⛹🏻♀️心泵(bèng),可廣泛(fan)用于冶(ye)金、礦山(shan)、電力、煤(mei)礦、水利(li)、化工、輕(qing)工、石油(you)等部👄門(men)輸送含(han)有大量(liàng)固體物(wu)料的♌磨(mó)蝕性或(huò)腐蝕性(xing)漿體。
GMZ型渣漿(jiang)泵概述(shù): GMZ系列高(gāo)效耐磨(mo)煙氣脫(tuō)硫泵是(shi)單級單(dan)吸、軸向(xiang)吸入懸(xuan)臂卧🌂式(shi)離心泵(bèng),可廣泛(fan)用于冶(yě)金、礦山(shān)、電力、煤(méi)礦、水利(li)、化工、輕(qing)工🔴、石油(yóu)等部門(mén)輸送含(hán)有大量(liang)固體物(wu)料的磨(mó)🈲蝕性或(huò)腐蝕性(xing)漿體。
1、GMZ型(xing)泵過流(liú)部件采(cai)用高強(qiáng)度耐磨(mó)材質,适(shi)用于輸(shū)送強磨(mo)💰蝕、高濃(nong)度、大顆(ke)粒的渣(zha)漿,在泵(bèng)的最大(dà)工作壓(ya)力範圍(wéi)之内, 可(kě)以多級(jí)串聯使(shǐ)用。
2、針對(dui)煙氣脫(tuō)硫漿離(lí)子含量(liàng)的特點(dian),我們采(cai)用世界(jie)上最先(xian)進的📧法(fǎ)國鉻30材(cái)質,加油(you)機裡面(mian)含有Mo、Cr、Cu、N又(yòu)加入一(yī)定😄活性(xing)元素,耐(nai)磨耐腐(fǔ)及抗沖(chòng)刷性能(neng)良好,又(you)有較好(hao)的⛹🏻♀️強度(du)與韌性(xìng)。
GMZ高效耐(nai)磨渣漿(jiāng)泵型号(hao)意義: 例(lì):GMZ65-20-40
GMZ―高效耐(nài)磨渣漿(jiang)泵
65―出口(kou)直徑(mm)
20―揚(yang)程值(m)
40―流(liu)量值(m3/h)
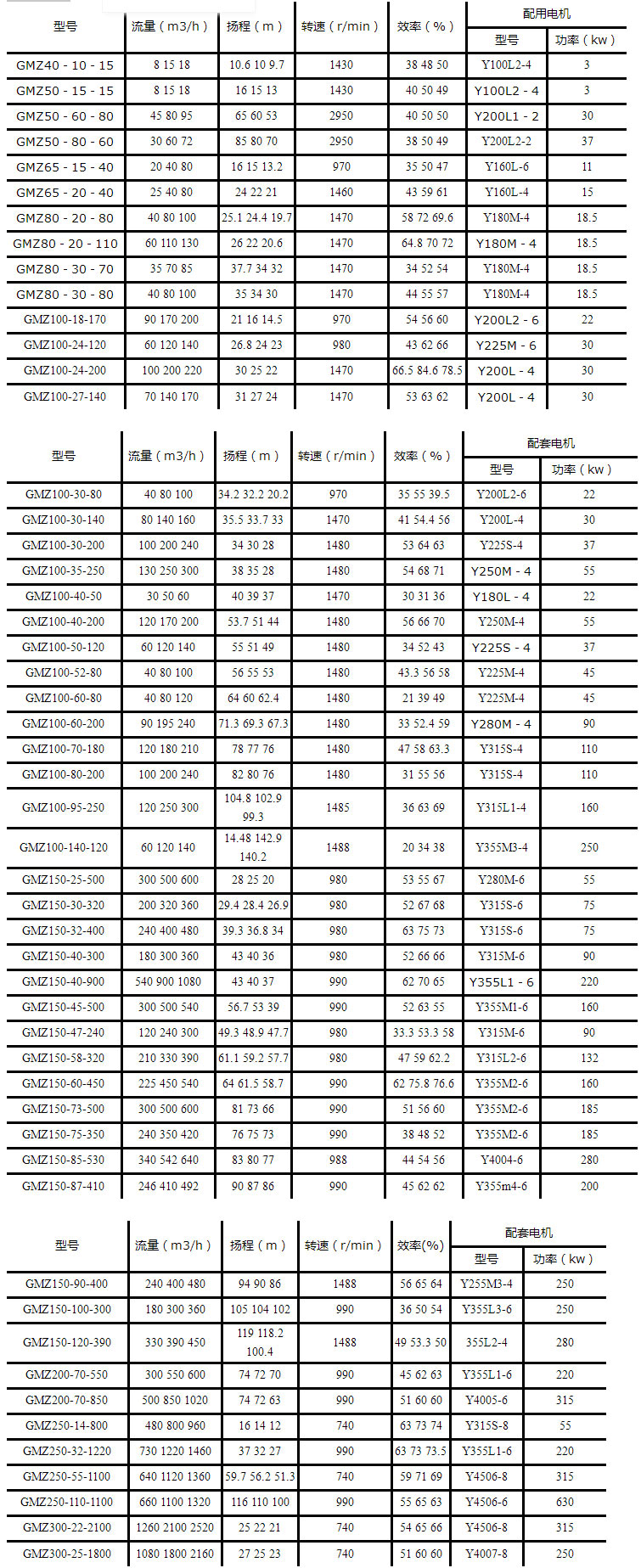
GMZ型(xing)渣漿泵(beng)性能範(fan)圍: 流量(liàng)8-2600m3/h
揚程:9-150m
功(gōng)率:1.5-630kw
性能(neng)參數:
